它与传统的MLP架构不同,能够用更少的参数量在Science领域取得惊人表现
最近一周KAN的热度逐渐褪去,正好静下心来仔细学习KAN的原理,收获颇多。
KAN是一种全新的神经网络架构,它与传统的MLP架构不同,能够用更少的参数量在Science领域取得惊人的表现,并且具备可解释性,有望成为深度学习模型发展的一个重要方向。
运用KAN,我们不仅能够在函数拟合、偏微分方程求解(PDE)上取得不错的成果,甚至能够解决拓扑理论中的Knot Theory、处理凝聚态物理中的Anderson Localization问题。

KAN一经推出便引爆了整个AI圈,短短几天就在github上获得了10k以上的stars。各路大神蜂拥而至,对KAN做出多种改进,提出了EfficientKAN、FourierKAN,甚至Kansformer等全新架构。

那么KAN究竟是什么,它有哪些独特价值,它对未来AI发展又有哪些启发呢?
近期KAN论文的一作Ziming做了一场精彩的分享,从数学原理、模型性能、甚至哲学意义层面对KAN的价值进行了深入解析,信息量巨大。

我给大家解读一下这场讲座的精华内容,感兴趣的朋友也可以去亲自听一遍。
文章内容有点硬核,建议耐心阅读哈。相信看完这篇文章,你对KAN以及深度学习模型的未来,会有一个全新的认知。
一、KAN的数学原理:KART定理
KAN的全称是Kolmogorov–Arnold Network,致敬了两位伟大的已故数学家,其背后的核心思想是Kolmogorov–Arnold表示定理,即KART(Kolmogorov–Arnold Representation Theorem)。

KART的核心思想是:对于任何一个多元连续函数,都能够表示为有限个单变量函数和加法的组合。

数学定理读起来比较拗口,但如果把它图示化出来,就很容易弄懂。
假设有一个多元连续函数y=f(x1,x2),它可以表达为一个有着2个input(x1和x2)、一个output(y)、以及5个隐藏层神经元的Kolmogorov Network。隐藏层神经元数量为2n+1=5,这里的n指的是input变量的个数。

对于第一个神经元,它接收到两个branch的信号,分别是φ1,1(x1)和φ1,2(x2),这里的φ(xi)是xi的一元函数。把φ1,1(x1)和φ1,2(x2)简单相加,就得到第一个神经元的取值。
以此类推,第2-5个神经元也是如此,这是第一层神经元取值的计算方法。
为了计算第二层神经元的结果,我们需要对第一层中的每个神经元构造一元函数(Φ1到Φ5),然后相加。
这里无论是第一层的函数(小φ)还是第二层的函数(大Φ),都是一元函数,所以可以用曲线将其可视化地表达出来。

至此,我们将f(x1,x2)的KART表示,转化成了一个两层KAN网络,并且进行了可视化。
二、将KAN网络做得更深:Make it deeper
原始的Kolmogorov Network特指一个2层的,宽度是2n+1的网络(其中n代表输入变量个数),第一层的小φ被称为内部函数,第二层的大Φ被称为外部函数。
这里我们可以对内部函数和外部函数进行抽象,它们都是KAN Layer,其中小φ是一个5×2的KAN Layer,大Φ是一个1×5的KAN Layer。

在这个基础之上,我们就可以把KAN网络建设得更深了,比如下图是一个三层的KAN。

这里有一个关键的问题:如果原始的两层Kolmogorov Network就可以表示所有的光滑函数,那为什么还要把网络建深呢?
这是因为原始的两层Kolmogorov Network中,并没有约束激活函数必须为光滑函数,因此有时会求解出一些不光滑的,甚至有分形行为的病态激活函数来表达目标函数。
如果你用不光滑的函数表达了目标函数,其实是没有现实意义的,不具备预测价值。

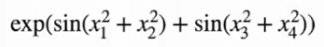
举个例子,针对这样一个目标函数,需要三层非线性的组合,才能构造出这个函数。如果用一个两层KAN网络去硬拟合,可能会得到一个没有物理意义的病态解。

通过一个三层KAN网络,可以学习出如下结果,第一层学到了4个二次函数,第二层学到了两个sin函数,第三层学到了一个exp函数,三者通过加法组合,得到了最终的目标函数。

三、用具体案例演示KAN的工作原理
上面我们用通俗的语言解释了KAN的网络架构,下面我们举几个具体例子来说明KAN的运作原理。
案例1:给定两个输入x和y,目标函数是x*y,即乘法运算。

下面看一下KAN网络学到的激活函数:
第一层中,针对node1,学到两个激活函数:
φ1(x) = x
φ2(y) = y
因此node1 = φ1(x) + φ2(y) = x + y。
第一层中,针对node2,学到两个激活函数:
φ3(x) = x2
φ4(y) = y2
因此node2 = φ3(x) + φ4(y) = x2 + y2。
第二层中,学到两个激活函数:
Φ5 = node12 = (x + y)²
Φ6 = -node2 = -(x² + y²)
因此最终结果为Φ5 + Φ6 = (x + y)² - (x² + y²) = 2xy。
我们通过两层KAN网络,成功拟合出了x*y这个目标函数。
案例2:给定两个输入x和y,目标函数是x/y,即除法运算。

这里同样用一个两层的KAN来学习,学到的激活函数结果如下:
第一层,学到两个激活函数:
φ1(x) = log(x)
φ2(y) = -log(y)
于是node1 = φ1(x) + φ2(y) = log(x) - log(y) = log(x/y)。
第二层:
Φ3 = enode1 = elog(x/y) = x/y
于是,我们通过一个两层的KAN网络求解出了除法函数。
除了这两个简单的案例之外,作者还给出了若干有趣的函数案例。

在(d)这个例子中,作者尝试用KAN来学习特殊函数,比如贝塞尔函数,结果确实学习出来了。这里的φ1(x) 是一个非常振荡的函数,就是贝塞尔函数。
在(f)这个例子中,我们想要预测两个点在二维空间中的距离函数,这时需要一个三层的KAN网络,其中包括一个线性函数、一个平方函数、一个平方根函数。三层嵌套,就能够准确拟合出目标函数。
四、KAN背后的核心算法:B-Splines
为了将Kolmogorov-Arnold表示成为一个可以学习的神经网络模型,我们需要将其参数化。
这里用到了B样条函数(B-Splines),即通过多个局域的基函数的线性组合来构成样条。
因此,KAN真正需要学习的参数,就是这里基函数前面的系数ci。

B样条函数的好处是可以自由控制resolution。比如这里G=5,意味着有5个interval,是一个比较粗糙的网格。
当G=10时便是一个比较精细的网格了。当你有更多的训练数据,想要把模型做的更精确时,你不需要重新训练网络,只需要把网格变得更细一些就可以了。

具体计算B样条函数时,常见用的是Boor Recursion Formula。这个公式表达起来很漂亮很简洁,但计算步骤存在递归性,因此计算效率较低。
这也是为什么KAN一经推出,就有大神在Github上发布EfficientKAN、FastKAN等Repo来提升其计算效率的原因。
五、KAN与MLP的关系
KAN和MLP有着千丝万缕的关系。
从数学定理方面来看,MLP的背后是万能逼近定理(Universal Approximation Theorem),即对于任意一个连续函数,都可以用一个足够深的神经网络来逼近它。
而KAN背后的数学原理是Kolmogorov-Arnold表示定理,即KART。
万能逼近定理和KART这两个表示论有一个很大的区别。
根据万能逼近定理,为了提升模型精度,需要不断提升模型的宽度。如果需要做出一个无穷精度的模型,你需要训练一个无穷宽度的网络。
而KART承诺你可以用一个有限大小的网络来实现无穷精度的模型,但有一个前提,即目标函数可以被严格写成KART的表示。

上图中的(a)和(b)比较了两层的MLP和两层的KAN。
对MLP来说,激活函数是在节点上的,是固定的。权重在边上,是可学的。
对KAN来说,激活函数是在边上的,是可学的。节点上只是一个单纯的加法,把所有input的信号加起来而已。
五、KAN在数学和物理领域具备极高的价值
下面我们来看看KAN的性能表现。
首先,对于Symbolic Formula来说,KAN的Scaling效率比MLP高了不少。

第二,在函偏微分方程求解上,KAN也比MLP更加准确。

第三,与MLP不同,KAN天然具备可解释性,并且没有灾难性遗忘的风险。

第四,人类可以与KAN进行交互,并且向其注入先验知识,从而训练出更好的模型。
这一点可能并不直观,我举个例子说明。
比如我们要预测的函数是esin(πx)+y^2。
首先我们通过KAN训练出一个比较稀疏的网络,然后prune成一个更小的网络,这时人类科学家就可以介入。
我们发现φ1长得像sin函数,于是可以把它固定成sin函数;我们觉得φ2长得像指数函数,也把它固定下来。
一旦我们将函数的structure全部固定下来后,再用KAN网络进行训练,就可以将模型中的各项参数学习到机器精度,得到一个非常准确的模型。

KAN是一个非常unconstrained的网络架构,它的表达能力太强,有时需要加入人类的先验知识作为constrain,才能得到更合理的结果。
七、KAN:符号主义和连接主义的桥梁
回顾AI的发展史,人们在符号主义和连接主义之间反复摇摆。
1957年,Frank Rosenblatt发明了感知机(Perceptron),人工智能正式拉开序幕。
但是在1969年,Minsky和Papert写了一本书攻击感知机,因为他们发现感知机无法执行异或操作(XOR),而XOR是计算机领域的基本操作。
这本书对Rosenblatt造成了巨大的打击,据推测间接导致其自杀。
然后时间到了1974年,政治经济学教授Paul Werbos发现,当把感知机从单层拓展到多层后,它就可以执行异或操作了。
但因为Paul Werbos所处的学术领域比较狭窄,这一发现在当时并没有引起主流学界的轰动。
1975年,Robert Hecht-Nielsen提出KART可以表示为一个层数为2、宽度为2n+1的Network,这就是KAN的雏形。
1988年,George Cybenko提出两层的Kolmogorov Network可以执行异或操作。
但是在1989年,Tomaso Poggio否定了Kolmogorov Network的价值,因为他发现两层的Kolmogorov Network解出的激活函数很不光滑,表达能力差而且没有可解释性。
时间到了2024年,Ziming和Max的研究提出了一种全新的方法,将Kolmogorov Network拓展到多层,能够有效解决激活函数不光滑的问题。
可以说,KAN是一个处于Symbolism和Connectionism之间的存在,有可能成为连接符号主义和连接主义之间的桥梁。

从这个意义上来看,KAN的价值就不只局限于AI for Science了。
比如最近大家在争论Sora到底是不是世界模型,有没有通过海量视频数据学到物理学规律。
要回答这个问题,可能我们就需要构建一个同时具备符号主义和连接主义的模型,两个部分各自学习自己擅长的部分。
最后我们可以去模型的Symbolism的部分去检验Sora有没有真的学到物理学规律,而不是去看整个Network,因为Connectionism部分是不可解释的。
八、KAN的哲学意义:还原论还是整体论?
从哲学的角度看,KAN的背后是还原论,而MLP的背后是整体论。
为了理解二者的差别,我们得先理解事物的内在自由度和外在自由度。
比如基本粒子存在诸如“自旋”等内在自由度,而外在自由度指的是基本粒子是如何与其他粒子发生交互的。
再比如在社会学中,如何看待一个人。从内在自由度来看,人是由他的品性、品格所决定的,这是internal degrees of freedom。
同时你也可以从外在自由度的角度去定义一个人,人是他所有社会关系的总和。
这恰恰就是KAN和MLP之间的本质差别。

MLP不在意内在自由度,而是重视外部连接,每个神经元内部不需要做精巧的结构设计,而是用固定的激活函数。只要神经元之间的连接足够复杂,就会涌现出智能。
而KAN的逻辑是,我们需要关注内在结构,引入可学的激活函数。在引入内在结构复杂性的同时,KAN在外部连接上只有简单的加法。
MLP和KAN的背后,反映出的是还原论和整体论之间的差异。
还原论(Reductionism)认为,我们最终能够把复杂的世界拆分成基本单元,这些基本单元的内部是复杂的,但是其外部相互作用是简单的。
而整体论(Holism)则认为世界是无法拆分的,它work as a whole。
这也从另一个层面说明了为什么KAN在Science领域表现得更好。因为绝大部分科学家,都是基于Reductionism的哲学信仰在解构这个世界。
九、结语:KAN属于仿生吗?
我们知道,当前的深度神经网络模型,启发自人脑中的神经元结构。
Transformer中的Attention机制,也启发自心理学中的注意力分配原理。
仿生路线成为了目前AI领域公认的主流方向。

那么在大自然中,是否存在着类似KAN这样的神经网络结构呢?
答案是肯定的。
KAN论文发布后,有生物物理领域的专家提出:MLP更像大脑中的神经元,而KAN更像视网膜中的神经元。
大自然真是神奇,不知道AI学界还会给我们带来多少惊喜。

原报告标题:KAN: Language Model for AI+Science
作者:费斌杰(北京市青联委员、熵简科技CEO)