延迟退休、养老投资及退休金管理️延迟退休政策详解及其影响退休、工作与发钱,三者独立如何规划个人养老投资与退休金
延迟退休
延迟退休这件事是否出乎大家意料呢?我认为显然不是。
大家都知道它终将到来,只是不确定具体时间而已。
它也提醒我们,也许那些我们觉得很遥远的、灰犀牛式的政策,也许未来也会以一种黑天鹅的方式降临,比如房地产税。
在调整之前,我国职工法定退休年龄沿用的是20世纪50年代制定的标准,当时人均寿命仅有50岁左右。
可能有些读者已经冷笑了。
但事实上,各国普遍开始重视退休问题,也不过是在二战前后才开始的。
举个例子:最早提出退休概念以及DB模式养老金的先驱,是俾斯麦。
1889年,俾斯麦为组建“德意志帝国”,设计了国家雇佣制度,规定雇员70岁退休,由政府发放养老金,直到去世。
想想看,19世纪德国人均预期寿命也就50岁左右,更不用说后面两次世界大战会进一步降低寿命。
我查了下数据,1970年,我国人均预期寿命是57岁。到2023年,已提高到78岁。

我国职工法定退休年龄一直延续着50年代的标准,即男性60岁,女干部55岁,女职工50岁。
而且这种男女退休年龄不一致的情况,在主要经济体中并不常见。
似乎只有中国、越南、巴西有这种情况,当然统计可能不够全面。
但是在大部分经济体中,男女退休年龄通常是一致的。
为便于后续讨论,我再快速复述一遍本次延迟退休改革的核心内容,方便大家对齐细节:
第一,从2025年开始,用15年时间逐步延长退休年龄,男性延至63岁,女工人延至55岁,女干部延至58岁。
第二,从2030年开始,社保最低缴费年限每年增加6个月,用10年时间将最低缴费年限提高到20年。原来是 15 年,现在是 20 年,只有累计缴满最低年限,才有资格领取养老金。
第三,实行弹性退休制度(这点极其重要):
在法定退休年龄基础上,可自愿选择提前或延迟退休,但幅度不能超过3年,且提前退休的年龄也必须高于原来的60、55、50岁标准。
这条意味着,对相当一部分临近退休人士而言,仍可以按照原来的年龄退休,这体现了渐进性调整的自愿原则,而且并不影响退休金的金额。
第四,延退的配套措施包括:实施就业优先战略,完善带薪休假制度,发展养老托育服务,以解决劳动者对延迟退休的顾虑。
第五,在养老第一支柱的个人账户中,提出了“晚退多得”的概念。未来可能会改进个人账户养老金计算方法,鼓励延迟退休。
根据第一条,这场渐进式延迟退休从2025年开始,用时15年,一直持续到2039年。
我算了下,届时大部分 70后也该退休了。
那年,我48岁。
60后有2.23亿,70后有2.21亿人。

这意味着,从现在到2039年,每一天,都有超过6万人退休。
而2023年底,我国60岁以上人口数量接近3亿人,占总人口数量超过21%。
未来 15 年,老龄化这头灰犀牛将降速袭来。
如果不考虑后续的财政补贴,在维持现有养老金替代率、不改变现有退休年龄的假设下,基础养老金的收支缺口可能逐步扩大。
而我国的养老金替代率本就不高,延迟退休是维持这个体系运行下去,为数不多可以调节的参数之一。
延退也是各大经济体不约而同的选择,客观地讲,我国的退休年龄确实也低于大部分经济体:
另一个并没有收到很多人关注的,暗中提高的成本是,社保缴纳基数的增速,它是高于GDP和人均收入增速的,我以上海的数据为例做了一张,这张图被很多同行引用过:

客观地讲,这也是老龄化导致的必然结果,没办法。
我觉得大家有一个普遍误会,很多人都误以为:退休年龄意味着,我一定要干到那个年龄才能不上班。
不是的!你愿意的话,明天就可以不上班,早早退休了。
退休这两个字有一种语言的迷雾,但它的真实含义应该是国家发放养老金,发钱。
所以把延迟退休改成延迟发钱,就好理解了。
因此,当我们谈论退休,我们在谈论什么?
我们在谈论三件独立的事儿:
第一,退休,这是主观意愿层面的事,何时停止工作,你自己看着办。
第二,有工作,这事儿得看个人能力和社会需求,以及你的岗位性质。
第三,发钱,这是政策意志层面的事,到了法定退休年龄,且满足了最低社保缴费年限以后,活着就是领钱。
其实还有第四件独立的事,这钱够不够?相当程度上,这也是个人层面的事,对吧?
进一步地,根据上面这几件事,我们就像得到了一把梳子,可以出划分不同人群的退休情况。咱们一起捋捋:
假设某个代际整体临近退休年龄了:
有人不想退休,他还有工作,再熬过几年就能领钱了,领的钱,够花。
有人想退休,但是没有工作,再熬过几年就能领钱了,但钱根本不够花。
有人不想退休,但是确实找不到工作,再熬过几年就能领钱了,所幸到时候领的钱勉强够花。
这样就具体多了,还能举很多例子。
每个人的经历和情况都不一样,退休也对他们意味着不同的事儿。
我感觉网上的主流声音是,五六十岁还要工作,人生太不幸了。
但就我对长辈们的观察,目力所及,他们大部分人依然渴望一份工作而不得。
相信我,等你真到了五六十岁,大概率不是不想上班,而是哭着喊着想上班。
工作对60后而言,意味着一份安全感,它不光来自于钱,还包括对那份带有时代印记的吃苦耐劳勤俭节约的巨大惯性的延续,以及对自我价值的确认,还有与社会保持联系的需求的满足。
接下来,我们也可以试着分析一下,哪类人群受本次延退的影响最大?
第一类是女工人:虽然男职工和女干部的退休年龄分别延迟了 3 年,但弹性退休制度下又允许提前 3 年退休,不构成硬性要求;
若社保待遇计发办法不变,提前 3 年退休也不会导致退休待遇低于现行水平。
因此,延迟退休对男职工和女干部的影响,更多是激励而非约束性质,这也是自愿原则的体现。
但对于原本五十岁退休的女工人来说,其退休年龄变成了 55 岁,即使自愿提前3 年退休,也至少需要多干两年至52岁, 这就形成了硬性约束。
由于女工人工资及养老金水平通常偏低,且养老金水平低于工资水平,2 年的新增工作时长实际利于其权益的保护。
当然,这句话成立的必要前提是,那时还有工作。
另一个受影响很大的人群是数量超过2亿人的灵就宫弟子(灵活就业人员)。
因为最低社保缴费年限从15年提高到了20年,灵活就业人员不在企业就业,社保缴费的钱完全自己掏,常因经济压力出现断缴、少缴的情况。
最低缴费年限的提升,可能会让这些人被迫通过推迟退休年龄、延长缴费期,或者更加省吃俭用挤出这份钱。
另一个冷知识是:职业职工医保需要累计交满25年才能享受终身医保的。
准备这期节目时,我也看了其它很多国家的情况,相关的研报有很多。
看了这么多样本,我只分享三个我自己最深刻认同的结论,期待与大家在评论区讨论:
第一,每个经济体的参数都不同,抛开环境参数谈差异,很多现象看起来都难以理解。
参数包括:人口数量和结构,历史包袱、文化纠葛、资源丰富程度、发展水平和思路等等。
环境参数不以人甚至政策的意志为转移,只能被迫接受。
第二,在看资料的过程中,我当然很自然地去看了美国和日本的情况。
首先,美国不像西欧,美国从来不是高福利国家,看了很多美国的养老体系的资料以后,我深刻意识到了这点。
政府对养老并不负有很多责任,DC模式主导下,你需要为自己的养老操心。
个税也好,医保也好,SSN、401K、IRA,说负担少那绝对是扯淡,看看美国居民部门的储蓄率就知道了。

中国也从来不是高福利国家,这也是系统参数决定的。
但是我国的系统参数又让大家对政府抱有很多家长式的期待。
对此我不展开讨论了,只是这个结论让我看开了很多事。
中国不是高福利国家,尤其,作为一个90后,我非常清醒地明白,别说到了2039年,再往后延10年,我们这个代际都是福利的供给方,我们是社保交的多的那个群体,是退休晚的那个群体。
最后,国内很多人认为,能像日本那样就好了,人均那么高,又是微通缩,那么久不涨价,配套也完善。
但是我也看过一些关于日本的书,日本本土批评不满意的声音比比皆是,老年人不满,年轻人更不满。
这让我意识到,怎么样都不容易满意的。
第三,是丁昶老师在节目里的一句话启发了我:
未来怎么样,未来好不好,养老行不行,多问你自己,少管年轻人和大家怎么样,每个人的情况、决策函数、变化都不一样。甚至我们自己的决策,也并非单一变量。
养老这件事,真的,落到最实处,管好自己得了。
我们都是20岁成人,工作40年,60岁退休,80岁离世,平均而言,大体如此。
说到底,确实是在社会和家庭两个经济组织下,前期靠父母帮扶,中间自己管自己,后期靠子女帮扶,大体如此。
社会层面,解决转移支付,损有余而补不足。
家庭层面,解决不同代际收入与支出期限错配的问题。
最后说说现在的一些问题。
我知道大家对现有养老体系的顾虑,老龄化少子化都不可逆的情况下,这个本质上是用年轻代际的收入补贴老年人开支的系统,随着供给方减少,需求方增多,它维持下去的压力会越来越大,这些事大家心知肚明。
所以要调参数,延退的效果是双倍的——多交3年,少领3年,一多一少,里外里差 6年。
代际扶持模式正在发生历史性变革,变革就是,有一代人要付出代价,就是80后、90后、00后这几代,谁都无力改变,这得认。
谁让我们迎面撞上了老龄化呢?
如周洛华老师所说,这是集体游戏共同面临的问题。
60后、70后没有代价吗?人家年轻时的剩余价值也被提取走了,也得认。
算个人账的话,我觉得自己是没资格抱怨社保的,原因很简单,我爸妈现在每个月领的养老金比我每个月交得要多
但是我岳父岳母是农村户口,领城乡居民养老保险,俩人每个月加一起几百块,远远远远低于他们三个孩子每个月缴纳的社保金额。
以至于他们一个成了乡镇小老板,快 60 岁了,全然把自己市场化,自谋出路。
另一个住在大城市的次卧里,帮子女照顾孙辈,领女儿给开的一份工资,另一个女儿给她交商业医疗险的保费。
人均2百多的城乡居民养老保险,和人均3千多的城镇职工养老保险,这是十几倍的差距。

领取城乡居民养老保险的1.64亿人,哪个不是客观上延迟退休呢?
还有直接受益于双轨制、延迟退休拉长职场价值的某些没有失业风险的群体。
但这种过于明显的差距,在这个系统参数从来都不患寡而患不均的环境里,真的好吗?
还有现行雇佣市场上广泛存在的,对雇佣年龄的种种歧视,
还有如何让高龄中年人在临近退休之前仍能找到一份工作强度稍微友好一些的工作?
还有平均周工作时长、带薪休假、加班费、调休潜规则等等,是否能制度化地对这些劳动者的基本权益有一些最基本的尊重和遵守。
人终究不是任劳任怨只会爆产能的老黄牛,人也应该没有负罪感的,心安理得地在 8 小时工作之外享受生活,享受自己的假期。
老说刺激内需,我想,内需会从这些正向的变化中自己生长出来。
以上,都是仍需改进的地方。
不多说了,言尽于此,理解万岁。
接下来我们唠一点儿实际的,聊聊个人养老投资都要面对的三类风险:
通胀风险
如何实现财富的跨周期保存,始终是一大难题。
货币当然是一种媒介,但它最大的问题就是会面临通胀侵蚀。
我分别测算了零通胀,年化1%、2%、4% 四种通胀速度下,1000元购买力的长期贬值情况。

下图是根据中国、日本、美国的公开CPI数据,测算了1986年至今,三国现金购买力的贬值情况。

结论是:人民币的贬值速度快于美元快于日元。
说实话,这个结论我是有点出乎意料的,因为体感告诉我,人民币购买力的速度并没那么快。
仔细看了下时间轴我明白了,因为我的统计区间是从1986年开始的。
这个时间段包含了1988年和1994年两场大通胀。
1988年那场大通胀,通胀率最高时超过18%。
而1994年那场,最高时更是高达25%。
这两场大通胀导致人民币购买力的快速贬值,这也足见高通胀对购买力的破坏。
如果只看2000年以后,人民币购买力的贬值速度则平稳很多。
所以像我这个年纪的人,对物价层面的高通胀是完全没有体感认知的,只能通过新闻感受一二。
但是!资产价格通胀则给我留下了近乎思想钢印式的冲击和记忆,尤其是2015年和2021年的股票牛市,还是2016~2017年初的地产牛市。

他们都对我的投资想法造成过深刻影响,那种挥之不去的,一旦错过那一两年,就像错过了一辈子的恐惧。

过去30年受益于畅通的全球化,没人担心通胀风险,甚至忘了还有高通胀这回事儿。
但2021年开始,通胀又回来了。
但谁知道呢!只要活得足够久,什么事都能见到。就像我从没想过有一天商贷居然比公积金贷还便宜。
很多人老把CPI和通胀画等号,这显然不准确,CPI只是对物价有表征作用的抓手之一,它衡量的永远是社会整体情况,和个体感受并不相关。
个体所面临的通胀,大家可以参考这两个思路:
其一,不同消费结构和生活方式的真实体感通胀天差地别!
你有娃还是没娃?养车还是共同交通?油车还是电车?做饭还是外面吃?有房还是租房?常去医院还是不去医院?
CPI只是一个数字,一视同仁,只表征各个品类构成的整体物价。
但体感通胀,千人千面。
其二,如果你的收入涨幅很低,跑输了很多商品和服务价格的涨幅,那么,不管CPI数据如何,客观上,你自己的生活都面临着通胀。
比如水电燃气涨点价,其效果可能和酱油涨价一样,因为占比低,缴费润物细无声,你很难感受到。
再举个我自己的例子,由于肩颈问题,我是盲人按摩的常客。
我常去的那家按摩店,2016年在那按,50元一小时,现在是90元一小时,8年涨幅80%,大家感受一下北京基础人力服务的价格。
我可以非常确信地说,这家店素以实惠著称,堪称按摩价格屠夫,它甚至都没有办卡服务,就是靠着低廉的价格,赚周转率的钱,但依然以年化7.6%的速度在涨价。
要说对物价最敏感的人群,还真就是老人。
原因很简单,他们收入的绝对值普遍不高,生活方式和习惯较为稳定,省吃俭用,精力又多,很自然地就会注意到很多价格波动。
在找资料的时候,我发现美国劳工部居然还有专门的老年人生活通胀指数,我下载数据做了张图,大家可以感受一下:

很多老人,尤其是生活在DC养老金模式主导的经济体中的老人,他们必须每年从养老投资中提取一定的金额用来过日子。
对此,海外有个 4% 原则,意思是,每年的提取比例最好别超过 4%,这样持续性会比较好。
提款金额大概固定,这就倒逼你必须控制住自己老年以后的消费水平。
控制消费的关键在于,要平滑自己的生活方式,尽量别花超了。
其实存钱也是同样的道理,表面看是存钱,落实起来会发现,是控制且平滑自己的生活方式,如此才能控制住支出。
所以,也许老年人也需要记账,比如我妈现在非常认真地记账,精确到“分”那种。
通过记账,她还发现了一些让她自己很失落的结论,这里我卖个关子,等今年春节回家,我会和老妈录一期播客。
可能很多听众和我一样,第一个想法是:哎呀,退休金每个月才那么点,能够花吗?
我问老妈,你怎么看?
老妈的回答相当有生活智慧:不是退休金够不够的问题,而是就这些钱,我得想办法让它够!
收益顺序和波动风险
聊完了通胀风险,接下来我们唠唠养老投资的收益率顺序风险。
这部分内容,国人听起来可能容易出戏,所以容我先铺垫几句:
欧美养老模式以DC为主,以美国为例,退休后自己从401K账户里取钱(提现时要交个税),然后再拿这钱过日子。
因此,定期从账户里取钱就变得格外重要——海外管这叫“定期提款计划”。
大家可以理解成:未来20年,每个月都卖掉一些股票基金,拿去花。
可问题是,投资账户是波动的啊!
那退休后大涨了还好说,可万一大跌了呢?日子还得过,只能忍痛割肉提现。
这就是收益率和它发生的次序搞砸养老规划的风险。
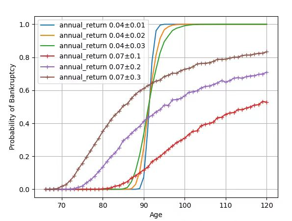
举个例子:假设你 65 岁退休时,存了 100 万人民币,每年取出来 5 万块作为日常开销,同时这 100 万本金做投资的复合年化回报率是 7%。
看起来很完美对吧?投资收益率也不低!
大家可以猜猜,这种取钱,能取到多少岁?
我让季老师用蒙特卡洛模拟帮忙算了下,结果如下:

直接说结论:对于这种每年提取固定金额的养老情形来说控制住波动率,比冒风险(波动)做高收益率更重要。
为什么呢?
因为你想在权益市场,实现长期复合收益率7%,就必须承担波动,这意味着,具体到每年的收益率,和 7%偏离度很大啊!
举个例子:同样是 年化 7% 的收益率,到底是连续 3 年,每年 7% 呢?
还是第一年 7%,第二年亏 13%,第三年赚 27% 呢?这个收益顺序综合下来,也是年化 7%。
能得出同样结果的收益顺序还有:第一年赚 27%,第二年赚 7%,第三年亏 13% 等等。
就像没人能猜中自己何时死亡一样,也没人能预测到市场的回报率顺序。
比如:在某个平行宇宙里,如果你是一个08年退休的美国人,那就惨了。
当年亏损 30% 起步,你还得咬牙从账户里取钱过日子。
再比如,这几年,疫情影响了身体,同时受益于美股牛市,养老账户受益巨大,美国很多老人提前退休了,这又造成服务行业人手短缺,支撑通胀。
通胀起来了,有工作的人可以涨薪,但退休老人谁给你涨工资啊,你只能自己消化。
那为什么在养老投资这个场景中,控制住波动率变得如此重要?
因为每年提款是固定的!
波动率大,意味着一定有大亏的年份。
而在大亏的年份里,你还得被迫取钱,对本金的伤害相当大。
打个比方:就好像生大病的时候,你还去抽血。
其实写这部分内容时,对我自己的启发也非常大。
因为在这个假设里,我的投资理财目标是极其明确的,就是100 万本金,每年必须提款 5 万,同时提款金额按照 2% 的通胀速度增加。
这个过程,能稳妥地维持下去,越久越好。这就是我的投资目标。
它启发了我:一旦明确了目标和需求,那么,如何设计投资方案,反倒相当清晰。
反之,如果没有明确的投资目标和需求,比如我现在问你:你投资理财为了啥?越具体越好。
我估计很多人都会愣住。
没有目标,就会被其它因素吸引,比如更高的收益率(同时还不清楚代价)。
回到上面的例子,有人会说,我有退休金,每年用不了 5 万。
可以,季老师还给算了一个,退休金管你 2 万,这样你只需每年取 3 万,按照年化 2% 的通胀速度增加每年的提款额。

结论是什么呢?
如果你能实现 4% 的年化收益,同时又能很好地控制住波动率,100 岁之前都不去取光的。
这段核心是想告诉大家,等我们老了,依赖消耗财富,每年都取点钱花掉,这种情况下,养老投资的波动率和收益顺序都是风险。
一定要优先降低波动,避免出现大亏,收益率什么的反倒是其次。
如果你能预料到自己的养老投资不可避免地要遭遇一些波动。
那我的建议就是,多少还是存点儿钱,额外准备一笔1~2 年的生活费。
然后,在市场大跌的年份,就不要取钱了,优先选择消耗储备好的生活费,这样可以避免进一步伤害本金。
进一步地,既然 65 岁以后的养老投资,其重点是做低波动率。
65 岁以前的养老投资,重点又是什么呢?
这个问题也很重要对吧?毕竟我每年 1 万 2 的个人养老金账户也还交着呢!
65 岁之前的养老投资,反而应该是追求收益率,依靠长期投资去平抑掉波动率,最终做大本金。
说白了,到了 65岁,咱得真有那 100 万,才能从里面取钱不是吗?
长寿风险和年金险设计理念
接下来我们聊聊养老的第三个风险:人类整体的死亡年龄是受正态分布主导的,用塔勒布的话说,这是平均斯坦主导的领域。
正态分布意味着,在正负一个标准差范围内的分布也是相对均衡的。
比如平均寿命78岁,那么68岁和88岁死亡的人数大致相当。
到底是 68、78、还是 88 岁噶呢?
冷酷地说:个体寿命就像是死神的抛硬币游戏。
但问题在于,一个人活到88岁,比78岁多活了120个月,比68岁多活了240个月。
没有人会嫌自己活得长,但是我们面临着有限的财务资源与真实寿命之间错配的风险。
这就是所谓的长寿风险——钱没了,人还在。
那本大家很熟悉的《老后破产》,其副标题是《所谓长寿的诅咒》。
一般来说,我国养老金计发月数的标准是:50岁退休计发195个月、55岁计发170个月、60岁计发139个月。
计发月数的影响是,我们退休时,用养老金个人账户金额/计发月数,就是个人账户每个月能释放的退休金,再加上统筹账户的钱,构成了我们全部的退休金。

但是计发月数只是一个假设,比如你的计发月数是 195 个月,难道第 196 个月国家就不给你发钱了?
不是这样。退休金是一直发放至死亡的。
但计发月数反映了大数意义上,一个人的退休生涯会持续多久。
如果没有一份类似退休金这种持续终身的现金流,长寿风险可能会毁掉退休生活。
目前能提供类似现金流的,我能想到两种东西:
其一,是类似红利这种,它的分红率更高,像现在很多红利etf的前十大持有人也是保险公司,但红利并不保证分红的稳定性。
p.s. 我已经好久没推荐过增额寿险了,就是觉得既然现在保险公司也都咔咔买红利,那没必要如此套娃,还不如带着长周期的预期,直接去买红利。
其二,是保险公司们卖的终身年金,它的特点是,不会有意外或者波动,约定多少就是多少。
这类稳定的终身现金流有两个好处:
第一,你完全不用操心任何事,它会按时到账的。
说到这我就想起来,有一次我前段时间参加举办的养老活动,那场的嘉宾之一是自驾环游中国的苏敏阿姨,我估计很多听友都知道她,最近上映的电影《出走的决心》也是以她为原型。
苏阿姨在分享时就提到一个小细节,我记得特别清楚。
她说当初买完车,买完装备,上路那一刻,其实兜里就几乎已经没啥钱了,但是好在只要能挨到下个月,退休工资一到账,就能继续在路上。
我想,这就是稳定现金流的好处,它是你的底气。
它的第二个好处,就是能保护我们不会因为活得太长,而陷入人还在,但钱不够花的境地。
当我们要建立一个退休方案,最基本的要求是回答两个问题:
我每年能花多少钱?
以及,我能花多少年?
《老有所养》这本书里介绍说海外在设计养老方案时,最后会算一个“退休收入可持续性系数”,简称RSQ。
可以把这个系数看成是对我们退休收入的一种预测——它得考虑到投资的波动性、预期回报以及寿命的不确定性,最终得出我们期望的生活水平的可持续性。
RSQ的计算公式,公式分为两部分:
第一部分是退休财富中,年金化资产的占比。
第二部分是,没有年金化的资产占比*(1-破产概率)。
其实这个公式里,除了破产概率,其它都好计算或者预估出来。
这个不太好算的破产概率,其实就是上一个部分中,季老师帮忙写代码计算的那个概率。
所以,这里的破产,不是说你投资,把自己亏到破产。
而是说,因为你每年都要定期从养老财富中取钱,最终把这笔钱消耗光了。
好了,前面铺垫这么多就是想说,年金类资产的最终作用,就是增加你退休收入的可持续性。
因为,无论是退休金也好、我们自己买的年金险也好,或者一个不会因为提款而伤害到本金,仅依靠提款就能满足养老年消费的红利类策略也好,他们最大的特点是:活着就能领钱。
我估计大部分听这期节目的听友,对所谓的长寿风险,或者说,人还在,钱没了,不够花的状态,不会有太深的体会。说实话,我也没有。
大家都会低估没发生、没见过的事物的可怕,但没关系,我相信我们以后会见到的。
因为我们前面还有 60 后、70 后,以后对他们的养老报道绝对不会少,从他们身上我们能学到特别多养老的注意事项。
另外,我估计一些很警惕的听友可能会嘀咕,老钱,我怎么隐约觉得你接下来是想卖我年金险呢?
但《老有所养》这本书的两位作者是从业多年的退休计划顾问,接触过很多客户,他们说了一个很好玩的现象,海外客户同样也有上述怀疑,但是,当你跟那些已经买了年金的客户说:
“要不咱们退保吧?换成DC模式,让市场表现来决定你的退休财富,大部分客户都是拒绝。”
作者说,这意味着,大部分人最终还是愿意有一个终身收入保证,而不愿意选择在去世时能留下很大一笔钱。
或者说,当人老了以后,近期的风险,永远比远期的机会重要。
因为… 因为你没有远期了…
这也是我想提醒大家的,如果你的养老需求是,无所顾虑地,最大效用地享受退休生活,该花花,这个月花完下个月还有,那么年金化资产无疑是好选择。
如果你的养老需求是,自己苦点累点无所谓,但是给下一代多留一些钱,你的财富传承需求更强,那么,确实年金化资产并不适合你。因为无论是国家发的退休金,还是年金险,你能得到它们的必要条件,就是还活着。生命终止后一切归零。
所以,如果你想给后代多留些钱,那么更高一些的收益率才应该是你所追求的。
真实养老金
好了,说完了养老面临的三大风险,再说一个一度困扰我很久的理财现象:
国内很多保险从业者都爱把一句话挂在嘴边叫“人家海外有钱人都爱买年金”。
这是事实,承认。
但我一直就不太理解其中的逻辑——低利率人尽皆知,美股长慢牛又是股东利益至上,这得有什么大病才会愿意去买年金?
后来我读了《老有所养》这本书,看到了非常合理的解释,这本书还有一个副标题,叫“资产年金化实现终生可持续收入”。
这本书的核心观点,就是,真实的养老金是最刚需的养老资产。
什么是真实的养老金?
京沪一套房子是吗?不是。
账户里的一大笔钱是吗?不是。
同理,401K计划账户余额肯定也不是。
分散化的资产配置组合是吗?不是。
愿意接屎接尿的孝顺孩子是吗?不是。
以上都是养老所需的资源,但它们都不是真实的养老金。
按照本书的定义,真实养老金应该是一条有保证的、可预测的、持续到生命结束的真实现金流。
你意识到没?
其实我国发的退休金就是完美符合这一定义的真实养老金!
真实养老金是一场绝对信任的双人舞,一方是退休老人,另一个舞伴是履行承诺的责任主体。
没有保证,就不叫养老金。
在不同国家,这个舞伴可以是:政府、保险公司、雇主提供的养老金计划。
大家可以想想,上面三个舞伴,谁的信用风险最低?要让我说,那我觉得还是政府。
一条真实的养老金可以有效对抗掉前面提到的三大风险——通胀风险,养老金年年涨,且幅度大于CPI:

长寿风险,不存在,养老金活着就领钱。
收益率次序和波动风险,也不存在。
能实现类似的资产真的不多,甚至就连保险公司买的年金险,它都并不能有效抵御通胀风险,因为每年的领取金额是固定的。
年金险只是对冲掉了长寿风险——因为是终身领取的嘛。
现在,我就可以回答前面的问题了:为啥国外有钱人都爱买年金?
不!他们不是在买年金,而是将一部分养老资产进行了年金化。
换言之,在美国DC主导的环境里,大家转而寻求进一步补充自己的DB。
我关注的很多海外理财博主(以美国为主)的长期写作母题都包含储蓄和退休。
包括奈飞出品的热门理财节目《How to get rich》里面翻来覆去都是这点儿事......
他们对此研究的很明白,我直接引用结论了:真实的养老现金流很稀缺,也很昂贵(想想你每个月交多少养老保险)。
真实养老金的真实价值非常高——其效用价值相当于净资产的50%。
举例解释下:一条本金50万,按月释放,涨幅稳定跑赢CPI,只要活着就发放的现金流,其价值并不亚于100万的现金。
这就是海外很多老人把自己部分资产年金化的原因——不是为了收益率!
其实上面这句话还有一个重点,将部分资产年金化,而不是全部资产。
那到底拿出来多少比例的资产进行年金化呢?
很抱歉,我也给不出答案。
但是能和大家分享一个思路:我觉得最重要的还是,看概率。
举个例子,我要对我的房子进行投保,我要防范两种概率事件:一个是我的房子被火灾给毁了,另一个是我的房子被陨石给毁了。
毫无疑问,防火灾的保费应该比防陨石的保费贵对吧?
因为火灾的概率更高。
类似的,退休的前几年的收入消费,和 99 岁时的收入消费,哪个概率更大?
答案大家心知肚明。
所以我的想法是,不一定对,仅供参考哈:
如果你已经有一份城镇职工养老保险,那么你对进一步增加永续现金流的需求,就没那么大,可能只需要一点点钱,足矣。甚至你补充的这部分年金,只是帮你进一步对冲一部分通胀而已。
如果你领的是一份月均两百多块的城乡居民养老保险,那么,你的养老投资的第一要义还真就是得尽量增加这种终身年金,起码拉到温饱水平吧。
所以,到底拿出来多少比例来年金化,真的因人而异。
养老资产也像一条光谱,一段是高波动,高收益的权益资产,一段是只要活着就领钱的永续现金流,其他资产或投资形式,比如红利、资产配置、指数基金,分布在这条光谱的不同位置,他们提供了不同的长期复合收益率和波动率。
无分优劣,全看你的个人情况,财富、年龄、风险偏好、子女等等。
养老,说到底,还是我们自己的事儿。